小厚度應符合下列要求:
對采用標準鋼材料的罐體:當直徑不大于1800mm時,其小厚度應不小于5mm;當直徑大于1800mm時,其小厚度應不小于6mm;
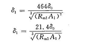
對采用其他鋼材的罐體,其小厚度可由下列公式1求出;
對采用鋁或鋁合金材料的罐體,其小厚度可按下列公式2求出。
公式1
公式2
在橫向沖擊或翻倒情況下,當裝有防止罐體破壞的保護裝置時,在符合規定的條件下,小厚度可適當減小,且按下列規定選取:
對采用標準鋼的罐體:當直徑不大于1800mm時,其小厚度應不小于3mm,當直徑大于1800mm時,其小厚度應不小于4mm;
對其他金屬材料制作的罐體,其小厚度分別按上述公式求出,且不小于下表的規定。
罐體的直徑 |
≤1800mm |
>1800 |
奧氏體不銹鋼 |
≥2.5 |
≥3 |
其他鋼材 |
≥3 |
≥4 |
鋁合金 |
≥4 |
≥5 |
99.60%純鋁 |
≥6 |
≥8 |
標簽:試驗,檢測

壓力單位的換算關系MPa,kPa,bar,psi
水壓與氣壓的壓縮率關系
水壓試驗與氣壓試驗的區別
|